Unlock the Power of NAC with Donois: Your Ultimate Antioxidant Solution
Revitalize Your Wellness with Pure NAC
Start Your Journey to Better Health Today!
Are you ready to boost your health from the inside out? Donois NAC (N-Acetyl L-Cysteine) is here to elevate your wellness routine. NAC is a powerful antioxidant that helps your body protect itself from harmful free radicals and supports overall vitality. Whether you’re looking to enhance your body’s natural defenses or simply promote healthy aging, Donois NAC is the perfect addition to your daily regimen.
What is NAC?
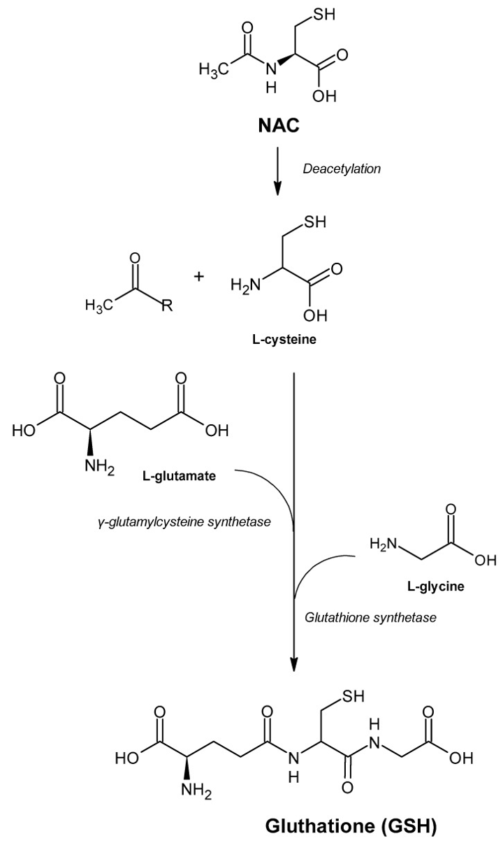
NAC (N-Acetyl L-Cysteine) is a powerful amino acid derivative that plays a key role in promoting your body’s overall health and well-being. It's a form of cysteine, a semi-essential amino acid that your body needs for many vital functions. But what sets NAC apart is its unique ability to boost levels of one of the body’s most critical antioxidants — glutathione.
Where Does NAC Come From?
NAC isn’t something you’ll find naturally occurring in foods, but it is derived from cysteine, which is present in high-protein foods like chicken, turkey, eggs, and dairy. Through a specific chemical process, cysteine is converted into NAC, making it a highly bioavailable and effective form of this amino acid. When you supplement with NAC, you’re giving your body the tools it needs to create more glutathione, its master antioxidan.
How NAC Works in the Body
When taken as a supplement, NAC is absorbed and utilized by the body to boost antioxidant levels. Specifically, it helps increase glutathione, a key player in neutralizing harmful free radicals that can cause oxidative damage to cells. This makes NAC a popular choice for people looking to enhance their body’s natural defenses and support a variety of bodily functions, including:
Does NAC Really Work?
N-acetylcysteine (NAC) is a medicine widely used to treat paracetamol overdose and as a mucolytic compound. It has a well-established safety profile, and its toxicity is uncommon and dependent on the route of administration and high dosages. Its remarkable antioxidant and anti-inflammatory capacity is the biochemical basis used to treat several diseases related to oxidative stress and inflammation. The primary role of NAC as an antioxidant stems from its ability to increase the intracellular concentration of glutathione (GSH), which is the most crucial biothiol responsible for cellular redox imbalance. As an anti-inflammatory compound, NAC can reduce levels of tumor necrosis factor-alpha (TNF-α) and interleukins (IL-6 and IL-1β) by suppressing the activity of nuclear factor kappa B (NF-κB). Despite NAC’s relevant therapeutic potential, in several experimental studies, its effectiveness in clinical trials, addressing different pathological conditions, is still limited. Thus, the purpose of this chapter is to provide an overview of the medicinal effects and applications of NAC to human health based on current therapeutic evidence.


